Navega sin publicidad Regístrate GRATIS

Perpendicular por el punto medio de segmento

ecuación_rectaEjercicios_Resueltosgeometría

Dados los puntos P(0,4) y Q(-6,0) , halla la ecuación paramétrica de la recta perpendicular al segmento \overline{PQ} en su punto medio.

SOLUCIÓN

La recta que nos piden tiene como vector director cualquier vector perpendicular a \vec{PQ}=(-6,-4), por ejemplo (4,-6).
[Para obtener un vector perpendicular a uno dado, basta con cambiar de orden las componentes y a una de ellas cambiarle el signo)

Como punto, debemos tomar el punto medio de \overlinie{PQ}, que será: M = \left( \frac{0-6}{2}, \frac{4+0}{2}\right) = (-3, 2)
Punto medio de un segmento

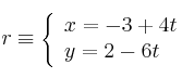
Por tanto, las ecuaciones paramétricas de la recta r que nos piden son:

r \equiv 
\left\{
\begin{array}{ll}
x = -3+4t \\
y  = 2-6t
\end{array}
\right.


Comentar el ejercicio