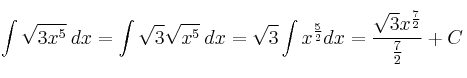
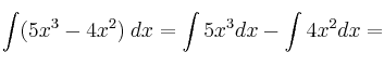
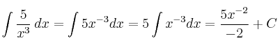
Integrales Inmediatas del tipo potencia de x Ejercicios_Resueltosintegralesintegrales inmediatas Resuelve las siguientes integrales: – – – SOLUCIÓN – – – Comentar el ejercicio