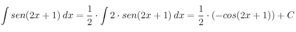
Integrales Inmediatas Ejercicios_Resueltosintegralesintegrales inmediatas Resuelve la integral: – SOLUCIÓN Comentar el ejercicio