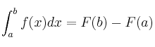
Integral Definida. Regla de Barrow
La integral definida de un función
entre
y
se expresa de la forma
, donde
y
son los límites de integración. Se calcula mediante la Regla de Barrow:

Suponemos que
es una función continua en el intervalo
y
es una primitiva de
.
Para aplicar la Regla de Barrow, calculamos una primitiva
sin constante de integración, y la aplicamos a los limites de integración (calculamos
y
). Finalmente calculamos la resta
.
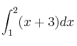
Ejemplo: Calcular la integral definida 
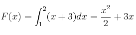
– Primero calculamos la integral indefinida (sin constante):

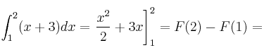
– A continuación aplicamos la Regla de Barrow:

Al calcular una integral definida obtendremos siempre un resultado numérico.