Inferencia Estadística
El coeficiente intelectual de los alumnos de un centro se distribuye N(110,15). Escogemos 25 alumnos al azar. ¿Cuál es la probabilidad de que el C. I. medio de los 25 alumnos sea superior a 115?
SOLUCIÓN
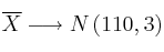
Si ![]()
entonces la distribución muestral de medias sigue una normal con estos parámetros:

![]()
Nos piden probabilidad de que la media sea superior a 115:
![]()
Debemos tipificar la variable en primer lugar
![P[\overline{X} > 115] = P\left[Z > \frac{115-110}{3} \right] = P[Z > 1.67])= P[\overline{X} > 115] = P\left[Z > \frac{115-110}{3} \right] = P[Z > 1.67])=](local/cache-TeX/752c208ebef7c5929c37a27b5fa2998f.png)
Debemos tener claro el uso de la tabla de la N(0,1)
![]()