Hallar ángulos de un rombo
Halla el valor de todos los ángulos del rombo cuyos vértices son: A(1, 0) , B(3, 4) , C(5, 0) y D(3, -4)
SOLUCIÓN
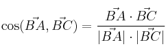
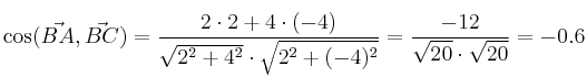
Calculamos el ángulo formado por los vectores
y
(ver Ángulo entre dos vectores)
Primero obtenemos los vectores:
y
y después aplicamos la fórmula


Usando la calculadora obtenemos que los ángulos miden 53.13º y 126.87º