Hallar Razones Trigonométricas
Sabiendo que
y que
, averigua 
SOLUCIÓN
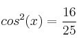
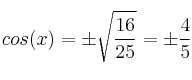
A partir del seno podemos calcular coseno y por tanto también tangente
![]()





Como
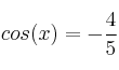
es un ángulo del segundo cuadrante y su coseno es negativo.Por tanto

Recordemos que lo que nos piden es
por tanto debemos usar la fórmula de la tangente de suma de ángulos:

Para nuestro caso sería:

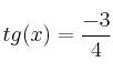
Recordemos que
(calculado antes) y que Entonces tendríamos:

Mensajes
18 de febrero de 2021, 15:44, por Mari Carmen Martínez
¿Por qué la tg de pi/4 es 1?
19 de febrero de 2021, 10:16, por dani