Funciones Extremos Relativos
Halla los extremos relativos de la función 
SOLUCIÓN
![]()
![]()
![]()
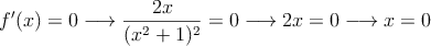
El punto
es el único candidato a Máximo o Mínimo.
Para ver si es máximo o mínimo podemos usar la segunda derivada como en Extremos de una función
Otra opción es estudiar la monotonía y aprovechar que la función es continua.
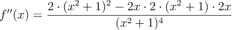
Lo vamos a hacer con el método de la segunda derivada
![]()
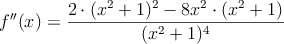
![]()
![]()
No es necesario simplificar puesto que la tenemos que aplicar a
y los cálculos no son complicados
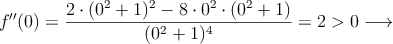
en
hay un MÍNIMO
Calculamos la 2ª coordenada en la función original
![]()
Por tanto el MÍNIMO es ![]()
Aunque no lo pide el ejercicio, voy a dibujar la gráfica para comprobar el resultado