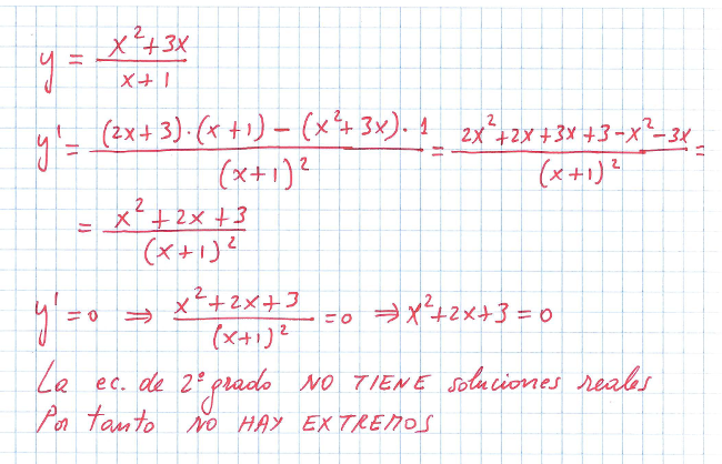
Funciones Extremos Relativos Ejercicios_Resueltosextremosfunciones Halla los extremos relativos de la función: SOLUCIÓN Comentar el ejercicio