Navega sin publicidad Regístrate GRATIS

Encuentra expresiones equivalentes

💬 1

  decimalesEjercicios_Resueltosfracciones equivalentesporcentajesreales

Entre las siguientes expresiones, encuentra parejas de expresiones equivalentes

a)20% de 8 , b) \frac{3}{2} , c) \frac{4}{3}-\frac{5}{6} , d) \frac{1}{3}
e) 25% de 5 , f) \frac{4}{3}-\frac{1}{2} , g) \frac{1}{2} , h) \frac{2}{3}-\frac{5}{6}
i) 200% de \frac{1}{6} , j) \frac{5}{4} , k) \frac{5}{6} , l) \frac{8}{5}

SOLUCIÓN

Es conveniente que todas las expresiones las pongamos en un mismo formato numérico. por ejemplo, podemos ponerlas todas en decimal. De esa forma tendríamos:

 a)20\% de 8 \longrightarrow 1,6
 b) \frac{3}{2} \longrightarrow 1,5
 c) \frac{4}{3}-\frac{5}{6} = \frac{3}{6} \longrightarrow 0,5
 d) \frac{1}{3} \longrightarrow 0,\widehat{3}
 e) 25\% de 5 \longrightarrow 1,25
 f) \frac{4}{3}-\frac{1}{2} = \frac{5}{6} \longrightarrow 0,8\widehat{3}
 g) \frac{1}{2} \longrightarrow 0,5
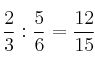
 h) \frac{2}{3}: \frac{5}{6} = \frac{12}{15} \longrightarrow 0,8
 i) 200\% de \frac{1}{6} \longrightarrow 0,\widehat{3}
 j) \frac{5}{4} \longrightarrow 1,25
 k) \frac{5}{6} \longrightarrow 0,8\widehat{3}
 l) \frac{8}{5} \longrightarrow 1,6

Entonces, las parejas de expresiones equivalentes serían:

 a) y l)
 c) y g)
 d) y i)
 e) y j)
 f) y k)

Comentar el ejercicio

Mensajes