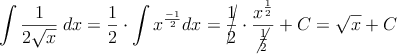
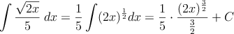
Ejercicios Integrales Inmediatas Ejercicios_Resueltosintegralesintegrales inmediatas Resuelve las integrales: – – SOLUCIÓN Comentar el ejercicio