Ejercicio Logaritmos
Calcula el valor de x en la expresión ![]()
SOLUCIÓN
Si aplicamos la definición de logaritmo tenemos
![]()
![]()
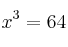
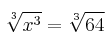
Otra forma de resolver ![]()
![\sqrt[3]{x^3}=\sqrt[3]{64} \sqrt[3]{x^3}=\sqrt[3]{64}](local/cache-TeX/992aa31d835dd908a77e2f808bb79dcb.png)
![]()
También podríamos resolver
por Ruffini
Calcula el valor de x en la expresión ![]()
Si aplicamos la definición de logaritmo tenemos
![]()
![]()
Otra forma de resolver ![]()
![\sqrt[3]{x^3}=\sqrt[3]{64} \sqrt[3]{x^3}=\sqrt[3]{64}](local/cache-TeX/992aa31d835dd908a77e2f808bb79dcb.png)
![]()
También podríamos resolver
por Ruffini