Ejercicio Factorizar Polinomios
Factoriza mentalmente los siguientes polinomios:
– ![]()
SOLUCIÓN
Factorización de:
![]()
Paso 1 — Factor común:
![]()
Paso 2 — Diferencia de cuadrados:
![]()
El factor
![]()
Es una diferencia de cuadrados:
![]()
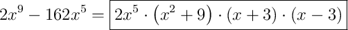
Resultado final de la factorización:
![]()
Factoriza mentalmente los siguientes polinomios:
– ![]()
Factorización de:
![]()
Paso 1 — Factor común:
![]()
Paso 2 — Diferencia de cuadrados:
![]()
El factor
![]()
Es una diferencia de cuadrados:
![]()
Resultado final de la factorización:
![]()