Ej 4 de Continuidad
Halla el valor de
para que la siguiente función sea continua:

Represente gráficamente la función para el valor de
SOLUCIÓN
– En
es continua por ser polinómica
– En
es continua por ser polinómica
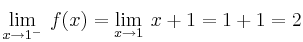
– Veamos qué ocurre en
.
como el
es un punto de separación entre los dos trozos de la función, debemos aplicar la definición de continuidad.
Para que sea continua en
tienen que coincidir ambos límites laterales, y además deben ser igual a
; por tanto:
de donde 
Gráfica de la función: