Ecuaciones Segundo Grado. Coeficientes con letras
Resuelve la ecuación:
![]()
SOLUCIÓN
![]()
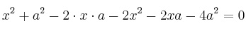
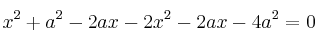
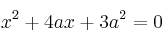
Quitamos paréntesis, operamos y ordenamos la ecuación
![]()
![]()
![]()
Podemos multiplicar todo por (-1) y queda:
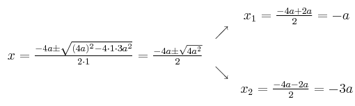
![]()
Aplicamos la fórmula de la ecuación de 2º grado

Resuelve la ecuación:
![]()
![]()
![]()
![]()
![]()
![]()
