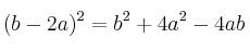
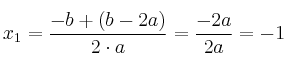
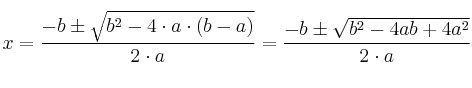
Ecuaciones Segundo Grado. Coeficientes Letras ecuacionesecuaciones-segundo-gradoEjercicios_Resueltos Resuelve la ecuación: SOLUCIÓN Aplicamos la fórmula Si aplicamos los productos notables Por tanto tendremos: Comentar el ejercicio