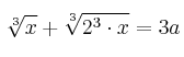
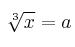
Ecuaciones Irracionales 💬 2 ecuacionesecuaciones_irracionalesEjercicios_Resueltos Resuelve la ecuación SOLUCIÓN Seguimos los pasos para resolver una ecuación irracional Al tener dos raíces, lo primero es comprobar si son semejantes. Comentar el ejercicio Mensajes 12 de diciembre de 2020, 22:08, por jose carlos x=a^3 esta mal.... 13 de diciembre de 2020, 19:21, por dani Gracias por avisar. Ya está corregida la errata.
Mensajes
12 de diciembre de 2020, 22:08, por jose carlos
x=a^3
esta mal....
13 de diciembre de 2020, 19:21, por dani
Gracias por avisar.
Ya está corregida la errata.