Ecuaciones Exponenciales
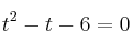
Resuelve la ecuación
![]()
SOLUCIÓN
![]()
Expresamos todo en potencias de la misma base

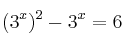
![]()
No podemos expresar "6" como potencia de 3
En el lado izquierdo no podemos agrupar las potencias porque van sumando/restando.
En estos casos, se usa un cambio de variable

Entonces
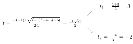
![]()
![]()
Resolvemos la ecuación de2º grado
Para
como
tenemos:

Para ![]()
que no tiene solución, pues 3 elevado a algo siempre va a dar positivo.