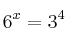
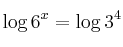
Ecuaciones Exponenciales ecuacionesecuaciones_exponencialesEjercicios_Resueltos Resuelve la ecuación: SOLUCIÓN Comentar el ejercicio