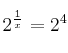
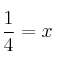
Ecuaciones Exponenciales ecuacionesecuaciones_exponencialesEjercicios_Resueltos Resuelve la ecuación SOLUCIÓN Comentar el ejercicio