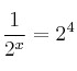
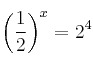
Ecuaciones Exponenciales ecuacionesecuaciones_exponencialesEjercicios_Resueltos Resuelve la ecuación SOLUCIÓN Intentamos expresar en potencias de la misma base Comentar el ejercicio