Ecuación con Progresión Aritmética
Considere la siguiente igualdad:

Donde
Si
Calcula el valor de
SOLUCIÓN
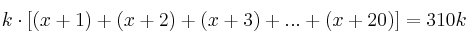
Nos piden que resolvamos la ecuación:
![]()
Se nos proporciona como dato la igualdad
, lo que nos lleva a pensar que deberemos aplicarla en algún momento del desarrollo de la ecuación.![]()
Podemos sacar factor común "k"
![]()
Podemos agrupar las "x" por un lado y los números por otro.
![k \cdot [ (\underbrace{x+x+ \cdots +x}_{20 \: veces}) + (\underbrace{1+2+3+ \cdots +20}_{\frac{20 \cdot (20+1)}{2}}) ]= 310k k \cdot [ (\underbrace{x+x+ \cdots +x}_{20 \: veces}) + (\underbrace{1+2+3+ \cdots +20}_{\frac{20 \cdot (20+1)}{2}}) ]= 310k](local/cache-TeX/288fa23de3eeceba27cb5c3797e86dc1.png)
Aplicamos la fórmula que proporciona el enunciado para n=20

![]()
Ahora podemos simplificar k
![]()
![]()
![]()
