Derivadas Ejercicios
Calcula la derivada de las funciones:
– a)
– b) ![y = \sqrt{2x} + \sqrt[3]{5x} y = \sqrt{2x} + \sqrt[3]{5x}](local/cache-TeX/55ef08a59caa3a89932b390460f0b96f.png)
SOLUCIÓN
a)= ![]()
![]()
Podemos pasar los exponentes a positivos
![]()
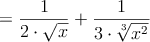
incluso podemos volverlo a poner en forma de radical
![]()
b) ![]()
![]()
![]()
Calcula la derivada de las funciones:
– a)
– b) ![y = \sqrt{2x} + \sqrt[3]{5x} y = \sqrt{2x} + \sqrt[3]{5x}](local/cache-TeX/55ef08a59caa3a89932b390460f0b96f.png)
a)= ![]()
![]()
Podemos pasar los exponentes a positivos
![]()
incluso podemos volverlo a poner en forma de radical
![]()
b) ![]()
![]()
![]()