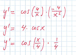
Derivadas Ejercicios derivada de una funciónEjercicios_Resueltos Calcula la derivada de las funciones: – – – SOLUCIÓN Comentar el ejercicio