Definición de Matriz
Una matriz es un conjunto de números ordenados en filas y columnas.
Las matrices tienen por nombre una letra mayúscula y sus elementos se encierran entre dos paréntesis (o dos corchetes)
Ejemplo de matriz:

Decimos que una matriz es de orden
(o de dimensión
) cuando tiene
filas y
columnas.
La matriz
es de orden
(tiene 2 filas y 3 columnas)
Una matriz de orden
se expresa de forma genérica:

donde el elemento
denota que está en la fila
y en la columna ![]()
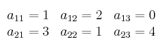
En la matriz
el elemento
(fila 2 , columna 1) vale
.
Todos los elementos de la matriz A:
