Cambio de base de logaritmos y calculadora
La mayoría de calculadoras sólo permiten calcular logaritmos decimales (base 10) y neperianos (base e).
Si necesitamos obtener el valor de un logaritmo (que no sea ni decimal ni neperiano) podemos usar la fórmula del cambio de base:

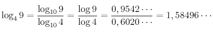
Ejemplo: Usa la calculadora para obtener el valor de ![]()
Cambiamos a base decimal:

Nota: También hay calculadoras que permiten obtener logaritmos en cualquier base