Asíntotas de funciones racionales
Calcula las asíntotas de las siguientes funciones:
– a)
– b) 
SOLUCIÓN
– a) A.V.
porque
no hay asíntotas horizontales (por tanto puede haber asíntota oblicua).
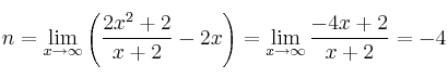
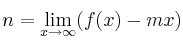
A.O. recta
, donde
y ![]()


Por tanto, A.O. 
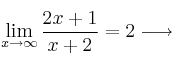
– b) A.V.
porque
A.H.
(por tanto no hay asíntota oblicua).