Área de exágono
Halla el área de un exágono regular, sabiendo que dos vértices simétricos están en los puntos
y ![]()
SOLUCIÓN
Si en un hexágono regular unimos los vértices simétricos, se obtienen 6 triángulos equiláteros.
Si conocemos dos vértices simétricos, podemos hallar la distancia entre ambos, que será el doble del valor del lado del hexágono.
![]()
El lado del hexágono mide ![]()
Para calcular el área de un polígono regular usamos la fórmula
![]()
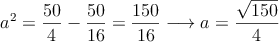
Para calcular la apotema usamos Pitágoras

![]()
![]()
Ya podemos calcular el área
![]()