Aproximaciones de números reales
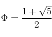
Aproxima el número
a:
– centésimas por defecto
– unidades por exceso
– diezmilésimas por defecto
– cien milésimas por exceso
– unidades por defecto
– décimas por exceso
– millonésimas por defecto
– milésimas por exceso
SOLUCIÓN
El número
se puede obtener con la calculadora: 
– centésimas por defecto: 1,61
– unidades por exceso: 2
– diezmilésimas por defecto: 1,6180
– cien milésimas por exceso: 1,61804
– unidades por defecto: 1
– décimas por exceso: 1,7
– millonésimas por defecto: 1,618033
– milésimas por exceso: 1,619
Mensajes
12 de marzo de 2015, 21:46, por tatiana
ush tan feo
jajajq que fastidios matematicas
27 de octubre de 2015, 04:17, por gabriela medina
naguara esta muy calida la informacion me ayudo mucho gracias