Ángulo de dos rectas
Halla el ángulo que forman las rectas:

SOLUCIÓN
El ángulo entre dos rectas es el determinado por sus vectores directores.
Los vectores directores son
y
Si llamamos
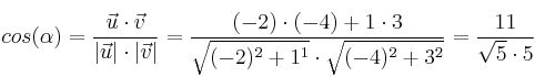
al ángulo que forman y usamos la definición de producto escalar:
, podemos despejar el coseno:

Por tanto,
grados