Haz de planos paralelos
Un conjunto de planos paralelos tienen todos el mismo vector normal y por tanto tendrán los mismos coeficientes de x,y,z en su ecuación general
Haz de planos paralelos
Haz de planos paralelos

Variando el valor de
se obtienen los infinitos planos paralelos.
Haz de planos secantes
Es un conjunto de planos que tienen en común una recta
Haz de planos secantes
Haz de planos secantes
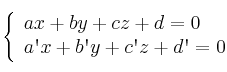
Si expresamos la recta en ecuaciones implícitas:
el haz de planos tendría por ecuación:

Variando el parámetro

se obtienen los infinitos planos secantes.