02 - Componentes y Módulo de un vector
Las componentes de un vector fijo son las proyecciones sobre los ejes de coordenadas.
Componentes de un vector
componentes o coordenadas de un vector en el plano
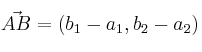
Si conocemos las coordenadas de los puntos origen y extremo de un vector podemos hallar las componentes del vector.
Si
y
, entonces 
Si tenemos los puntos
y
, las componentes del vector
serán:

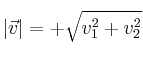
El módulo de un vector es la longitud del mismo (lo que mide). El módulo de un vector
se representa por
y se calcula con la fórmula

Ejemplo: Si
entonces su módulo será 