01 - Vectores
Vector determinado por dos puntos
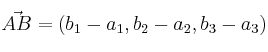
Dos puntos en el espacio
y
determinan un vector 
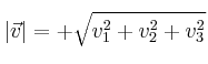
Módulo de un vector
Dado un vector
, podemos calcular su longitud o módulo con la fórmula:

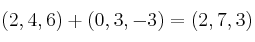
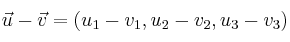
Suma y resta de vectores
Dados los vectores
y
, podemos sumarlos o restarlos de la siguiente manera:
![]()
Producto por un número
Para multiplicar un vector por un número, multiplicamos cada una de las componentes del vector por dicho número
![]()
– Ejemplo: Dados los vectores
y
, calcula ![]()
![]()
Otras operaciones con vectores:
– producto escalar
– producto vectorial
– producto mixto