Navega sin publicidad Regístrate GRATIS

trigonometría

Ejercicios_Resueltostrigonometría

Calcula el valor de las razones trigonométricas (seno, coseno y tangente) de todos los ángulos del siguiente triángulo

SOLUCIÓN

Calculamos el lado (x) que falta por Pitágoras.
x^2 = 7^2+9^2
x^2 =49+81
x^2 =130  \longrightarrow x=\sqrt{130}

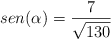
Ahora ponemos las razones de los tres ángulos:

sen (\alpha) = \frac{7}{\sqrt{130}}

cos (\alpha) = \frac{9}{\sqrt{130}}

tan (\alpha) = \frac{7}{9}

sen (\beta) = \frac{9}{\sqrt{130}}

cos (\beta) = \frac{7}{\sqrt{130}}

tan (\beta) = \frac{9}{7}

sen (90) = 1
cos (90) = 0
tan (90) = NO tiene

Comentar el ejercicio