trigonometría
Sin usar la calculadora, averigua las razones trigonométricas de los siguientes ángulos:
– a)
– b)
– c)
– d) ![]()
SOLUCIÓN
Recomendable ver Razones de ángulos mayores de 360
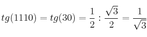
– a) ![]()
Las razones de 1110 son las mismas que las de 30



Este último resultado se puede racionalizar y quedaría:

– b) ![]()
Las razones de 585 son las mismas que las de 225
225 = 180+45 (ángulos que difieren en 180)
225 y 45 tienen senos y cosenos iguales pero de distinto signo


![]()
– c) 270
![]()
![]()
NO TIENE
– d) ![]()
![]()
![]()

Mensajes
17 de marzo de 2007, 13:01, por dani
– a) 1110 = 360 x 3 + 30

sen (1110) = sen (30) =
cos (1110) = cos (30) =
tan (1110) = tan (30) =
– b) 585 = 360 + 225
sen (585) = sen (225) = - sen (45) =
cos (585) = cos (225) = - cos (45) =
tan (585) = tan (225) = tan (45) = 1
– c) 270
sen (270) = -1
cos (270) = 0
tan (270) = NO tiene
– d) 3780 = 360 x 10 + 180
sen (3780) = sen (180) = 0
cos (3780) = cos (180) =
tan (3780) = tan (180) = 0