Navega sin publicidad Regístrate GRATIS

sistema ecuaciones lineal 2x2 denominadores

Ejercicios_Resueltossistemas_por_sustituciónsistema_lineal_2_ecuaciones_2_incognitas

Resuelve el sistema de ecuaciones:

\left\{ \begin{array}{rr}
             2y - \frac{3x}{4} + \frac{5}{2} = 0\\
             x + \frac{y}{2} + 1  = 0
             \end{array}
   \right.

SOLUCIÓN

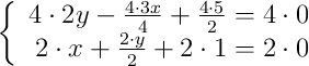
Tenemos que quitar denominadores para dejarlo como un sistema norrmal.
En la 1ª ecuación podemos multiplicar todo por 4.
En la 1ª ecuación podemos multiplicar todo por 2.
 

\left\{ \begin{array}{rr}
             4 \cdot 2y - \frac{4 \cdot 3x}{4} + \frac{4 \cdot 5}{2} = 4 \cdot 0\\
             2 \cdot x + \frac{2 \cdot y}{2} + 2 \cdot 1  = 2 \cdot 0
             \end{array}
   \right.

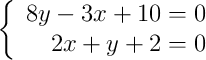
\left\{ \begin{array}{rr}
             8y - 3x + 10 = 0\\
             2x + y +2 = 0
             \end{array}
   \right.

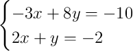
Ordenamos

\left\{ \begin{array}{rr}
             -3x + 8y = -10\\
             2x + y = -2              \end{array}
   \right.

Resolvemos

Método de Sustitución

Despejamos una incógnita en una de las ecuaciones y sustituimos esa expresión en la otra, obteniendo una ecuación con una sola incógnita.

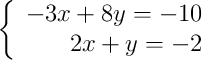
Sistema de partida:

\begin{cases}-3x + 8y = -10\\2x + y = -2\end{cases}

Paso previo · Elegimos qué incógnita despejar

El coeficiente de y en la Ec.2 es 1: despejamos y de esa ecuación porque no aparecerán fracciones.

Paso 1 · Despejamos y de la segunda ecuación

{\color{blue} y = -2 - 2x}

Paso 2 · Sustituimos y en la primera ecuación

8(-2 - 2x) - 3x = -10

Paso 3 · Desarrollamos el paréntesis

-16 - 16x - 3x = -10

Paso 4 · Agrupamos los términos con x a un lado y los números al otro

-19x = 6

Paso 5 · Despejamos x

{\color{blue} x = \dfrac{-6}{19}}

Paso 6 · Sustituimos x en la expresión del Paso 1 para hallar y

y = -2 - 2\cdot\left(\dfrac{-6}{19}\right)

{\color{blue} y = \dfrac{-26}{19}}

Solución

\boxed{x = \dfrac{-6}{19} \qquad y = \dfrac{-26}{19}}

Comentar el ejercicio