radicales simplificar
Calcula y expresa el resultado simplificando al máximo:
– a)
– b)
– c)
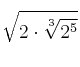
– d) ![\sqrt{2\cdot\sqrt[3]{2^5}} \sqrt{2\cdot\sqrt[3]{2^5}}](local/cache-vignettes/L80xH67/9d96ea621d857177678f99eb214e4545-20607.png?1688056140)
SOLUCIÓN:
– a)
– b)
– c)
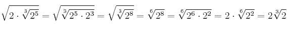
– d) ![\sqrt{2\cdot\sqrt[3]{2^5}}=\sqrt{\sqrt[3]{2^5 \cdot 2^3}}=\sqrt{\sqrt[3]{2^8}}=\sqrt[6]{2^8}=\sqrt[6]{2^6 \cdot 2^2}=2 \cdot \sqrt[6]{2^2}=2 \sqrt[3]{2} \sqrt{2\cdot\sqrt[3]{2^5}}=\sqrt{\sqrt[3]{2^5 \cdot 2^3}}=\sqrt{\sqrt[3]{2^8}}=\sqrt[6]{2^8}=\sqrt[6]{2^6 \cdot 2^2}=2 \cdot \sqrt[6]{2^2}=2 \sqrt[3]{2}](local/cache-vignettes/L568xH67/87b4a497e4067e31da4f23d15186c400-cc0ea.png?1688056140)
Calcula y expresa el resultado simplificando al máximo:
– a)
– b)
– c)
– d) ![\sqrt{2\cdot\sqrt[3]{2^5}} \sqrt{2\cdot\sqrt[3]{2^5}}](local/cache-vignettes/L80xH67/9d96ea621d857177678f99eb214e4545-20607.png?1688056140)
SOLUCIÓN:
– a)
– b)
– c)
– d) ![\sqrt{2\cdot\sqrt[3]{2^5}}=\sqrt{\sqrt[3]{2^5 \cdot 2^3}}=\sqrt{\sqrt[3]{2^8}}=\sqrt[6]{2^8}=\sqrt[6]{2^6 \cdot 2^2}=2 \cdot \sqrt[6]{2^2}=2 \sqrt[3]{2} \sqrt{2\cdot\sqrt[3]{2^5}}=\sqrt{\sqrt[3]{2^5 \cdot 2^3}}=\sqrt{\sqrt[3]{2^8}}=\sqrt[6]{2^8}=\sqrt[6]{2^6 \cdot 2^2}=2 \cdot \sqrt[6]{2^2}=2 \sqrt[3]{2}](local/cache-vignettes/L568xH67/87b4a497e4067e31da4f23d15186c400-cc0ea.png?1688056140)