1487

radicales operaciones

, por dani

Calcula y simplifica:

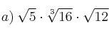
 a) \: \sqrt{5} \cdot \sqrt[3]{16} \cdot \sqrt{12}
 b) \: \sqrt[3]{125 \cdot \sqrt{32 \cdot \sqrt[3]{8}}}

SOLUCIÓN:

 a)  \sqrt{5} \cdot \sqrt[3]{16} \cdot \sqrt{12}
 \sqrt[6]{5^3} \cdot \sqrt[6]{16^2} \cdot \sqrt[6]{12^3}
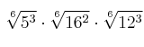
 \sqrt[6]{5^3 \cdot 16^2 \cdot 12^3}
 \sqrt[6]{5^3 \cdot 2^8 \cdot 2^6 \cdot 3^3}
 \sqrt[6]{5^3 \cdot 2^{14}  \cdot 3^3}
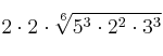
 \sqrt[6]{5^3 \cdot 2^6 \cdot 2^6 \cdot 2^2  \cdot 3^3}
2 \cdot 2 \cdot \sqrt[6]{5^3 \cdot  2^2  \cdot 3^3}

 b)  \sqrt[3]{125 \cdot \sqrt{32 \cdot \sqrt[3]{8}}}
 \sqrt[3]{125 \cdot  \sqrt{\sqrt[3]{8 \cdot 32^3 }}}
 \sqrt[3]{125 \cdot  \sqrt[6]{8 \cdot 32^3 }}
 \sqrt[3]{ \sqrt[6]{8 \cdot 32^3 \cdot 125^6}}
 \sqrt[18]{8 \cdot 32^3 \cdot 125^6}
 \sqrt[18]{2^3 \cdot (2^5)^3 \cdot (5^3)^6}
 \sqrt[18]{2^3 \cdot 2^{15} \cdot 5^{18}}
 \sqrt[18]{2^{18} \cdot 5^{18}}
2 \cdot 5 = 10