404

radicales operaciones

, por dani

Calcula y simplifica:
 a) \sqrt{2a} \cdot \sqrt{3a} \cdot \sqrt{6a}
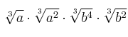
 b) \sqrt[3]{a} \cdot \sqrt[3]{a^2} \cdot \sqrt[3]{b^4} \cdot \sqrt[3]{b^2}
 c) \sqrt{5a} \cdot \sqrt{10ab} \cdot \sqrt{8a^3b} \cdot \sqrt{a}