radicales

, por dani

Pasa las siguientes potencias a radical y después simplifica todo los que puedas:

 a) 8^{{4} \over {12}}
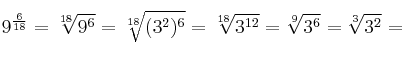
 b) 9^{{6} \over {18}}

SOLUCIÓN:

 a) 8^{{4} \over {12}}=\sqrt[12]{8^4}=\sqrt[12]{(2^3)^4}=\sqrt[12]{2^{12}}=2

 b) 9^{{6} \over {18}} = \sqrt[18]{9^6} =  \sqrt[18]{(3^2)^6}=  \sqrt[18]{3^{12}} = \sqrt[9]{3^{6}} = \sqrt[3]{3^{2}} =