radicales
Calcula y simplifica:

Consejo: Racionaliza previamente los denominadores irracionales
SOLUCIÓN:

Racionalizamos denominador


Reducimos a común denominador






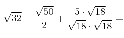
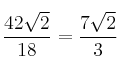
Calcula y simplifica:

Consejo: Racionaliza previamente los denominadores irracionales
SOLUCIÓN:








