radicales
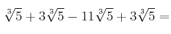
Simplifica la expresión: ![\sqrt[3]{5} + 3\sqrt[3]{5} - 11\sqrt[3]{5} + 3\sqrt[3]{5} \sqrt[3]{5} + 3\sqrt[3]{5} - 11\sqrt[3]{5} + 3\sqrt[3]{5}](local/cache-vignettes/L227xH50/80738f8ec778b74940880ac5e0a1efdc-65a72.png?1688371996)
SOLUCIÓN:
Sólo se pueden sumar o restar radicales semejantes.
Como todos son
, podemos sumarlos todos.
![\sqrt[3]{5} + 3\sqrt[3]{5} - 11\sqrt[3]{5} + 3\sqrt[3]{5} = \sqrt[3]{5} + 3\sqrt[3]{5} - 11\sqrt[3]{5} + 3\sqrt[3]{5} =](local/cache-vignettes/L247xH50/770dec5b98efc68c06a51e3816086356-64bcd.png?1688368396)
![= (1+3-11+3) \sqrt[3]{5} = -4 \sqrt[3]{5} = (1+3-11+3) \sqrt[3]{5} = -4 \sqrt[3]{5}](local/cache-vignettes/L267xH50/dbabb116529b84907682416402ba3d5a-a7739.png?1688371996)
Simplifica la expresión: ![\sqrt[3]{5} + 3\sqrt[3]{5} - 11\sqrt[3]{5} + 3\sqrt[3]{5} \sqrt[3]{5} + 3\sqrt[3]{5} - 11\sqrt[3]{5} + 3\sqrt[3]{5}](local/cache-vignettes/L227xH50/80738f8ec778b74940880ac5e0a1efdc-65a72.png?1688371996)
SOLUCIÓN:
Sólo se pueden sumar o restar radicales semejantes.
Como todos son
, podemos sumarlos todos.
![\sqrt[3]{5} + 3\sqrt[3]{5} - 11\sqrt[3]{5} + 3\sqrt[3]{5} = \sqrt[3]{5} + 3\sqrt[3]{5} - 11\sqrt[3]{5} + 3\sqrt[3]{5} =](local/cache-vignettes/L247xH50/770dec5b98efc68c06a51e3816086356-64bcd.png?1688368396)
![= (1+3-11+3) \sqrt[3]{5} = -4 \sqrt[3]{5} = (1+3-11+3) \sqrt[3]{5} = -4 \sqrt[3]{5}](local/cache-vignettes/L267xH50/dbabb116529b84907682416402ba3d5a-a7739.png?1688371996)