radicales

, por dani

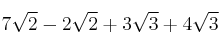
Simplifica la expresión: 7 \sqrt{2} + 4\sqrt{3} - 2\sqrt{2} + 3\sqrt{3}

SOLUCIÓN:

7 \sqrt{2} + 4\sqrt{3} - 2\sqrt{2} + 3\sqrt{3}


7 \sqrt{2} - 2\sqrt{2} + 3\sqrt{3}+ 4\sqrt{3}


(7-2) \sqrt{2}  + (3+4)\sqrt{3}


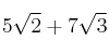
5 \sqrt{2}  + 7 \sqrt{3}