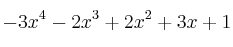
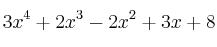
polinomios operaciones 💬 2 Ejercicios_Resueltosoperaciones_con_polinomiospolinomios Sean los polinomios: Calcula: – a) – b) – c) SOLUCIÓN – a) – b) – c) Comentar el ejercicio Mensajes 9 de febrero de 2022, 20:02, por g en el apartado b) seria= -3X a la cuarta+2X al cubo+3x+11 porque X cuadrado desaparece ya que es= -3X cuadrado +4X cuadrado - X cuadrado 10 de febrero de 2022, 16:07, por dani Lo he revisado y está correcto.
Mensajes
9 de febrero de 2022, 20:02, por g
en el apartado b) seria=
-3X a la cuarta+2X al cubo+3x+11 porque X cuadrado desaparece ya que es= -3X cuadrado +4X cuadrado - X cuadrado
10 de febrero de 2022, 16:07, por dani
Lo he revisado y está correcto.