polinomios factorizar
Factoriza los siguientes polinomios:
–
– ![]()
SOLUCIÓN
Factorización de:
![]()
No hay factor común distinto de 1.
Paso 2 — Ruffini:
Los candidatos a raíces enteras son los divisores del término independiente (-15):
![]()
![]()
![\polyhornerscheme[x=-5, resultstyle=\color{red},resultbottomrule,resultleftrule,resultrightrule]{4x^4+4x^3-67x^2+62x-15} \polyhornerscheme[x=-5, resultstyle=\color{red},resultbottomrule,resultleftrule,resultrightrule]{4x^4+4x^3-67x^2+62x-15}](local/cache-TeX/f2ff9e10ae509329f3863bca5321fcad.png)
![]()
![\polyhornerscheme[x=3, resultstyle=\color{red},resultbottomrule,resultleftrule,resultrightrule]{4x^3-16x^2+13x-3} \polyhornerscheme[x=3, resultstyle=\color{red},resultbottomrule,resultleftrule,resultrightrule]{4x^3-16x^2+13x-3}](local/cache-TeX/b6872dc4806ad808afa7029d791e362b.png)
Cuando ya no podemos encontrar más raíces por Ruffini podemos resolver la ecuación de segundo grado:
Es un trinomio cuadrado perfecto:
![]()
Resultado final de la factorización:
![]()
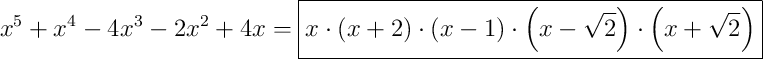
Factorización de:
![]()
Paso 1 — Factor común:
![]()
Paso 2 — Ruffini:
Los candidatos a raíces enteras son los divisores del término independiente (4):
![]()
![]()
![\polyhornerscheme[x=-2, resultstyle=\color{red},resultbottomrule,resultleftrule,resultrightrule]{x^4+x^3-4x^2-2x+4} \polyhornerscheme[x=-2, resultstyle=\color{red},resultbottomrule,resultleftrule,resultrightrule]{x^4+x^3-4x^2-2x+4}](local/cache-TeX/c0770480b61986233288148bdf355fa4.png)
![]()
![\polyhornerscheme[x=1, resultstyle=\color{red},resultbottomrule,resultleftrule,resultrightrule]{x^3-x^2-2x+2} \polyhornerscheme[x=1, resultstyle=\color{red},resultbottomrule,resultleftrule,resultrightrule]{x^3-x^2-2x+2}](local/cache-TeX/c909e7bed1aef32e34927c834b652114.png)
![]()
Cuando ya no podemos encontrar más raíces por Ruffini podemos resolver la ecuación de segundo grado:
Ecuación incompleta (sin término en
): despejamos
.
![]()
![]()
Por tanto:
![]()
Resultado final de la factorización:

Mensajes
1ro de diciembre de 2006, 11:51, por dani