polinomios factorizar
Factoriza los siguientes polinomios:
–
– ![]()
SOLUCIÓN
Factorización de:
![]()
No hay factor común distinto de 1.
Paso 2 — Factor de grado 2:
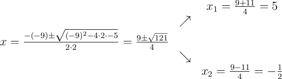
Aplicamos la fórmula cuadrática:

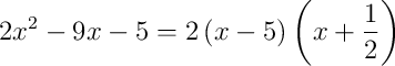
Por tanto:

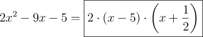
Resultado final de la factorización:

Factorización de:
![]()
No hay factor común distinto de 1.
Paso 2 — Ruffini:
Los candidatos a raíces enteras son los divisores del término independiente (12):
![]()
![]()
![\polyhornerscheme[x=-3, resultstyle=\color{red},resultbottomrule,resultleftrule,resultrightrule]{x^3+3x^2+4x+12} \polyhornerscheme[x=-3, resultstyle=\color{red},resultbottomrule,resultleftrule,resultrightrule]{x^3+3x^2+4x+12}](local/cache-TeX/1d1dbd31f9b009cff1672a35cbc88712.png)
![]()
Cuando ya no podemos encontrar más raíces por Ruffini podemos resolver la ecuación de segundo grado:
Aplicamos la fórmula cuadrática:
![]()
El factor
![]()
Resultado final de la factorización:
![]()