Navega sin publicidad Regístrate GRATIS
 
  Si ya estás registrado/a Identifícate

polinomios factorizar

Ejercicios_Resueltosfactorizar_polinomiospolinomios

Factoriza los siguientes polinomios:
 P(x) = 2x^3 + 2x^2 -24x
 Q(x) = x^2 + 12x + 35

SOLUCIÓN

Factorización de:

2x^{3}+2x^{2}-24x

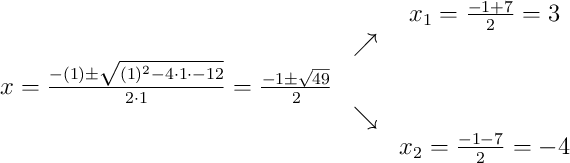
Paso 1 — Factor común:

2x^{3}+2x^{2}-24x = 2x\left(x^{2}+x-12\right)

Paso 2 — Factor de grado 2:

Aplicamos la fórmula cuadrática:

\begin{array}{ccc} & & x_1 = \frac{-1+7}{2}=3\\ & \nearrow &\\x=\frac{-(1)\pm\sqrt{(1)^{2}-4\cdot1\cdot-12}}{2\cdot1}=\frac{-1\pm\sqrt{49}}{2} & &\\ & \searrow &\\& & x_2 = \frac{-1-7}{2}=-4\end{array}

Por tanto:

x^{2}+x-12 = \left(x-3\right)\left(x+4\right)

Resultado final de la factorización:

2x^{3}+2x^{2}-24x = \boxed{2x \cdot \left(x-3\right) \cdot \left(x+4\right)}


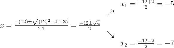
Factorización de:

x^{2}+12x+35

No hay factor común distinto de 1.

Paso 2 — Factor de grado 2:

Aplicamos la fórmula cuadrática:

\begin{array}{ccc} & & x_1 = \frac{-12+2}{2}=-5\\ & \nearrow &\\x=\frac{-(12)\pm\sqrt{(12)^{2}-4\cdot1\cdot35}}{2\cdot1}=\frac{-12\pm\sqrt{4}}{2} & &\\ & \searrow &\\& & x_2 = \frac{-12-2}{2}=-7\end{array}

Por tanto:

x^{2}+12x+35 = \left(x+5\right)\left(x+7\right)

Resultado final de la factorización:

x^{2}+12x+35 = \boxed{\left(x+5\right) \cdot \left(x+7\right)}

Comentar el ejercicio