logaritmos
Sabiendo que
y
, calcula 
SOLUCIÓN
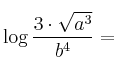
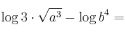
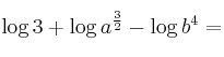
Debemos aplicar las propiedades de los logaritmos hasta conseguir una expresión en la que sólo haya
y
(pues sus valores son conocidos).






![]()
Si usamos la calculadora para obtener log(3) el resultado final sería: 2.017 aprox.