geometría ángulos
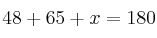
En un triángulo conocemos dos ángulos que miden
y
. ¿Cuánto mide el tercer ángulo?
SOLUCIÓN
Los tres ángulos de un triángulo suman 180º
![]()
![]()
![]()
El tercer ángulo mide 67º
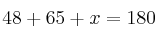
En un triángulo conocemos dos ángulos que miden
y
. ¿Cuánto mide el tercer ángulo?
Los tres ángulos de un triángulo suman 180º
![]()
![]()
![]()
El tercer ángulo mide 67º