geometría
Calcula el perímetro y el área de un rombo de diagonales 20 cm y 10 cm.
SOLUCIÓN
En un rombo las diagonales se cortan en su punto medio, por tanto valen 10 y 5 (la mitad de 20 y 10).
Una de las maneras de calcular el área de un rombo es calcular el área de unos de los 4 triángulos rectángulos y multiplicar el resultado por 4.
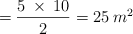
Si nos fijamos en el triángulo rectángulo verde, su área será:
Área ![]()
Área ![]()
Por tanto el área del rombo será: ![]()
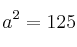
Para calcular el perímetro necesitamos calcular el lado (a) y lo haremos por Pitágoras (fijándonos en el triángulo rectángulo verde):
![]()
![]()
![]()

El perímetro será 4 veces el lado, por tanto:
Perímetro = ![]()
Mensajes
10 de enero de 2021, 12:16, por remy acosta
creo que hay un error al escribir la mitad de 24 es 12
10 de enero de 2021, 18:48, por dani
La errata estaba en el enunciado.
Ya está corregida.
Gracias por avisar.